Kaiyun官网 登录入口Kaiyun官网 登录入口在智能材料领域,液晶弹性体(LCEs)因其独特的各向异性结构、软弹性和对外界刺激的响应能力,已成为软体机器人、传感器和人工肌肉等下一代应用的理想候选材料。然而,基于数字光处理技术的LCEs光固化3D打印长期以来严重依赖自由基介导的聚合反应。这种方法不可避免地导致丙烯酸酯均聚,形成交联不均匀、密度高且带有未反应基团的异质网络,致使打印件易开裂、液晶介晶重新取向受限,最终造成产品合格率低、成本攀升,并损害了材料的阻尼与驱动性能。
近期,清华大学吉岩副教授课题组成功开发了一种基于光生碱剂(PBG)的非自由基3D打印策略,为上述挑战提供了解决方案。该策略通过精确、选择性的硫醇-丙烯酸酯迈克尔加成反应,构建了均匀且交联密度低的网络,无残留硫醇,从而有效防止了打印开裂,显著提高了成功率。所制备的PBG固化LCE材料杨氏模量仅为1.69 MPa,是目前所有光固化LCE中最柔软的。更重要的是,该技术解放了液晶介晶,使其更易重新取向,实现了高达97%的驱动应变(传统自由基体系低于70%),软弹性平台区域拓宽了3倍,并通过介晶重新取向与3D结构设计的协同作用,大幅增强了阻尼能力。这为面向软体机器人和冲击防护的高性能3D打印LCE开辟了一条高成功率的路径。相关论文以“Non-Radical Photocured 3D Printing of Liquid Crystal Elastomers”为题,发表在Angew上。

研究的核心在于化学反应路径的根本性转变。图1直观对比了传统自由基路线与本工作的非自由基路线:前者因丙烯酸酯均聚与硫醇-丙烯酸酯加成的竞争,导致网络异质、易开裂、表面精度差、材料刚硬且驱动应变有限;后者则在光生碱剂作用下,通过纯粹的逐步增长聚合,形成了高度均匀的网络,释放了介晶的运动潜力。为实现这一路径,研究团队选用四苯基硼酸四甲基胍盐作为PBG,在385 nm光照射下释放强有机碱四甲基胍,专一性催化硫醇与丙烯酸酯单体的迈克尔加成(图2)。为确保反应纯粹性,还加入了自由基清除剂以抑制可能的光敏副反应。

图1:光固化3D打印LCE示意图。 对比展示了传统自由基路线(上)与本工作非自由基路线(下)。传统路线中,光引发剂DMPA引发反应,同时发生硫醇-丙烯酸酯加成与丙烯酸酯均聚,导致网络异质、易开裂、表面精度差、材料刚硬、驱动应变低且阻尼能力有限。本工作采用光生碱剂TPB-TMG,专一催化硫醇-迈克尔加成,形成高度均匀的网络,从而避免了开裂,提高了表面质量,解放了液晶介晶,实现了更优的软弹性、更高的驱动应变和更强的阻尼能力。

图2:光固化LC墨水的化学组成及热固化对照组。 展示了本研究涉及的几种固化体系:基于光生碱剂(PBG)的M-PBG体系,基于光引发剂DMPA的自由基体系(包括基于单体的M-R•和基于低聚物的O-R•),以及作为对照组的热催化碱固化体系(M-B)。示意图说明了各体系的反应路径和最终网络状态。
材料的性能差异根源在于网络结构。流变测试表明,基于单体的PBG墨水(M-PBG)具有优异的牛顿流体行为与适中的光固化凝胶时间,适合打印(图3a,b)。固化后,M-PBG表现出更高的溶胀比,表明其交联密度更低、网络更柔韧(图3c,d)。红外光谱分析进一步证实,传统自由基固化体系(M-R•)中残留有未反应的硫醇峰,而M-PBG中则实现了硫醇与丙烯酸酯的定量、 stoichiometric转化,形成了理想的网络结构(图3e,f)。

图3:墨水流变行为及M-PBG与传统自由基基LCE的结构差异。 a) 光固化LC墨水的粘度测试。b) 光固化LC墨水的光流变测试。c) 固化LCE的凝胶含量。d) 溶胀比及固化LCE示意图。e, f) 固化前墨水和固化后LCE的FTIR光谱。
不同的网络结构直接导致了显著差异的热力学与机械性能。差示扫描量热分析显示,M-PBG的向列相-各向同性相转变温度(Ti)显著低于自由基体系,表明其介晶运动受限更小(图4a)。这一差异可通过加热使样品从浑浊变为透明的直观实验得到验证(图4b)。力学测试中,M-PBG展现出典型的LCE软弹性行为,具有宽广的应力平台区,而自由基体系的平台区范围则缩减了三分之二以上(图4c,d)。拉伸-回复测试计算表明,M-PBG的能量耗散能力高达85–95%,远超M-R•(图4e-g)。尤为突出的是,M-PBG的杨氏模量低至1.69 MPa,断裂伸长率达592%,成为现有记录中最柔软的光固化LCE(图4h)。动态热机械分析也显示M-PBG具有更高的损耗因子,预示其优异的阻尼性能(图4i)。

图4:不同光固化路线导致的热学、机械及阻尼性能差异。 a) 光固化LCE的DSC曲线。b) 通过不同Ti实现多层次显示的演示。比例尺:1厘米。c) 在10 mm min⁻¹拉伸速率下光固化LCE的应力-应变曲线。d) 光固化LCE的软弹性平台区。e) M-PBG的拉伸-回复测试。速率:10 mm min⁻¹。f) M-R•的拉伸-回复测试。速率:10 mm min⁻¹。g) M-PBG和M-R•的能量耗散容量计算。h) M-PBG与已有记录的光固化LCE的杨氏模量比较。i) 光固化LCE在-40 °C至140 °C范围内的损耗因子(tan δ)。
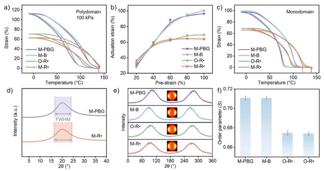
在驱动行为方面,无论是多畴还是通过溶剂辅助法制备的单畴LCE,M-PBG都实现了远高于自由基体系的驱动应变(图5a-c)。X射线衍射分析表明,M-PBG的多畴样品衍射峰半高宽更窄,意味着其介晶有序度更高、网络更均匀(图5d)。单畴样品的测试则进一步证实,M-PBG具有更高的取向序参数,这得益于其均匀低交联网络在拉伸取向过程中能更好地适应变形(图5e,f)。

图5:驱动行为及微观结构表征。 a) 多畴LCE在100 kPa恒定载荷下的驱动行为。b) 通过溶剂辅助法编程的单畴LCE在不同预应变下的驱动应变。c) 单畴LCE(在80%预应变下编程)在可忽略载荷下的驱动行为。d) 多畴M-PBG和M-R•的XRD分析。e) 取向LCE的XRD分析及图像。f) 取向LCE的计算序参数。
这项技术的最大优势之一在于彻底解决了3D打印LCE过程中因溶剂挥发和内部应力不均导致的易开裂难题。如图6a-c所示,在打印复杂的含溶剂睡莲结构时,传统自由基体系(M-R•)在干燥后出现灾难性开裂,而M-PBG则能保持结构完整,且无需添加染料即可获得高分辨率、高质量的表面。利用这一优势,研究者成功打印了具有热致协调变形能力的蜂窝状晶格结构以及模仿海星捕食行为的仿生驱动器(图6d)。
在能量耗散应用方面,研究展示了M-PBG的巨大潜力。落球冲击测试表明,即使是简单的2D平面M-PBG样品,其缓冲和阻尼性能也优于多种商业橡胶(图6e,f)。结合3D打印技术设计的具有周期性凸起阵列的阻尼垫(M-PBG-3D),通过宏观结构变形与微观介晶重新取向的协同,实现了更优异的冲击力衰减和更快的残余振荡衰减,性能全面超越对应的3D自由基体系阻尼垫(图6g,h)。

图6:高成功率DLP 3D打印演示及应用。 a) DLP技术示意图。b) 使用M-PBG和M-R•打印的含溶剂仿生3D睡莲的照片,展示了不同的打印质量。比例尺:1厘米。c) 干燥后样品的照片(比例尺:1厘米)和光学显微镜图像(比例尺:600微米)。d) 3D打印的M-PBG驱动器演示:蜂窝状晶格和海星。为能量耗散设计的3D打印M-PBG和M-R•阻尼垫及其结构示意图。比例尺:1厘米。e) 落重测试示意图。f) 对2D平面LCE和商业阻尼橡胶的落重测试。g) 2D/3D阻尼垫的阻尼能力比较。h) 不同高度下对3D M-PBG和M-R•阻尼垫的落重测试。
总而言之,这项研究提出的非自由基光固化3D打印策略,通过构建均匀、低交联密度的理想网络,不仅大幅提高了打印成功率和制品质量,更重要的是充分释放了液晶弹性体中介晶的功能潜力,实现了卓越的驱动与阻尼性能。尽管目前商用光生碱剂的选择仍有限,且活化能要求较高,但这项工作无疑拓宽了光固化3D打印LCE的化学范畴,为开发用于下一代软体机器人和先进能量耗散系统的高性能材料指明了方向。未来的研究可致力于开发更高效、更易活化的光生碱剂体系,并进一步优化分子设计,以挖掘该平台的更大潜力。
